NewPlot (Macro Command)
NewPlot Name='NNNN' Table='TTTT' X=Xvar Y=Yvar Rows=1..10 LineStyle=1 Symbol=1 SymbolSize=6 Color=Red Legend ErrorBars PointLabels ConnectLasttoFirst AutoUpdate XAxisLabel='new Xlabel' YAxisLabel='new Ylabel'
This macro command creates a new X-Y plot. The allowable keywords are shown above and described below.
Name='NNNN'
Set the name of the tab for this plot window to 'NNNN'. Note the plot tab name may be either a string constant within single quotes or a predefined EES string variable.
Table='TTTT'
Data for the plot will be obtained from the Parametric table, Lookup table or Arrays Table that has the name 'TTTT'. The table name can be provided as a string variable, e.g., TN$. (If TTTT' is the name of both a Parametric table and a Lookup table, the data will be plotted from the Parametric table. The search order is Parametric table, Lookup table and then Arrays table.) Note that the table could also have been identified by entering PARN, LOOKN, or ARRN where N is the tab number of the Parametric, Lookup or Arrays table. You can also use ARR for the first Arrays table or INT for the Integral table.
X=Xvar Y=Yvar
Plot variable Xvar on the X-axis and Yvar on the Y-axis. Xvar and Yvar must appear in the specified table. When plotting variables from the Arrays table (ARR or ARRN) specify the array name as XXX[i], where XXX is the parent name of the array variable. In addition, the X-axis variable can be:
X=Index causes the index number of an Array to be used as the X-values.
X=Run_Number causes the run number of a Parametric Table to be used as the X-values.
X=Row_Number causes the row number of a Lookup table to be used as the X-values
The following keywords are optional.
Rows=
Data will be obtained from the specified rows in the table. If this keyword is not provided, all rows in the specified table will be used.
LineStyle=
Symbol=
SymbolSize
Color=
The values provided for LineStyle, Symbol, SymbolSize and Color can be specified using integers or variables. The color can be provided as either an integer or the name of the color. The coding for these parameters is as follows:
LineStyle=0 No line Symbol=1 Open circle Color=0 Black
LineStyle=1 Solid line Symbol=2 Open rectangle Color=1 Blue
LineStyle=2 Dotted line Symbol=3 Open triangle (up) Color=2 Red
LineStyle=3 Thick line Symbol=4 Open butterfly (horiz) Color=3 Green
LineStyle=4 Dashed line Symbol=5 Open triangle (down) Color=4 Purple
LineStyle=5 Thick dotted Line Symbol=6 Open butterfly (vert) Color=5 Maroon
LineStyle=6 Thick dashed line Symbol=7 Open diamond Color=6 Yellow
LineStyle=7 Dash-dot line Symbol=8 Closed circle Color=7 Lime
LineStyle=8 Thick dash-dot line Symbol=9 Closed rectangle Color=8 Olive
LineStyle=9 Triple-thick line Symbol=10 Closed triangle (up) Color=9 Aqua
Symbol=11 Closed butterfly (horiz) Color=10 Gray
Symbol=12 Closed triangle (down) Color=11 Fuchsia
Symbol=13 Closed butterfly (vert) Color=12 Navy
Symbol=14 Closed diamond Color=13 Teal
Symbol=15 Cross Color=14 Silver
Color=15 Orange
Color=16 White
Color>16 RGB Color number (Use the RGB function to create the color number)
Legend causes a legend item to be created.
ErrorBars will cause error bars to be drawn if the data that are plotted contain uncertainty information.
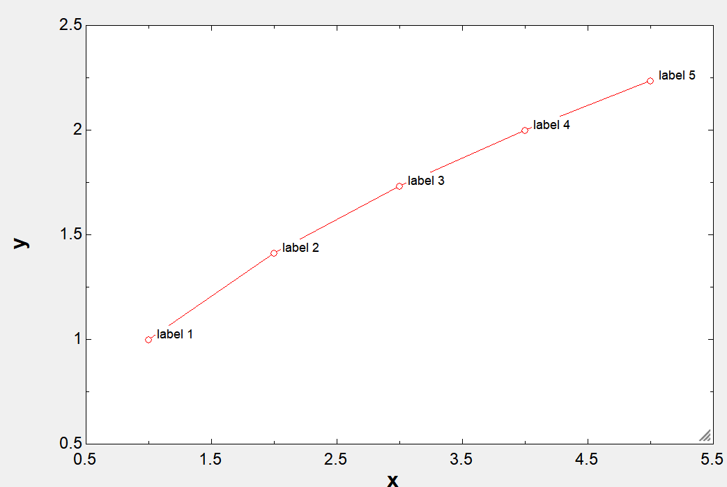
PointLabels keyword places a label next to each plotted point. By default, the label is an integer corresponding to the array position (when plotting from the Arrays window) or row (when plotting from the Parametric or Lookup tables). The point labels keyword can be optionally followed with a /ColName, where ColName is the name of a column in the table that is being plotted. In this case, the point labels will be set to the value (or string) in the specified column of the table rather than to the row or array position. The column number can be provided as an alternative to providing the column name. See Example 2.
ConnectLasttoFirst keyword will cause a line to be drawn from the last plotted point to the first point. This option is useful when plotting thermodynamic cycles.
AutoUpdate will cause the plot to be updated whenever the data in the table change.
XAxisLabel=
YXaxisLabel=
The X and Y axis labels are set by default to the name and units in the column header cell. These keywords override the default behavior so that the labels can be set as desired.
All parameters except Name, Table, X, and Y are optional. Keyword LineStyle may also be provided as Line. A default value will be used if a parameter is not specified. Further modifications of the plot are possible with the ModifyPlot and ModifyAxis commands.
Example 1:
NewPlot Name='Plot 3' Table=PAR1 X=X Y=T Line=1 Symbol=1 Color=green
Example 2:
An EES program has the following Parametric table.

The following Macro commands (which can appear within a $RunMacroAfter ... $EndMacro clause) will place the labels in third column next to each point and override the autoscaling of the axes.
NewPlot Name='Plot Labels' Table='Table 1' X=X Y=Y LineStyle=1 Symbol=1 SymbolSize=6 Color=Red PointLabels/S$
ModifyAxis X Name='Plot Labels' Min=0.5 Max=5.5 Int=1
ModifyAxis y Name='Plot Labels' Min=0.5 Max=2.5 Int=0.5

See also: ModifyPlot