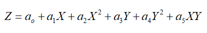
Bi-Quadratic Interpolation
The bi-quadratic interpolation scheme attempt to represent Z as a function of X and Y using the following relation

The coefficients are found using linear least squares to minimize the error in representing N points in the vicinity of the point of interest. By default, N=16. The Interpolate2D function provides an optional argument to specify N. If N is less than the number of data points, N points will be selected that are closest to Z in normalized coordinates.